AK PARTİ’DE YENİ BAŞKAN ALİ GÜMÜŞ’ÜN YÖNETİM LİSTESİ BELLİ OLDU - Tekirdağ Canlı HaberTekirdağ Canlı Haber

18 Nisan 2026 - 02:09

AK PARTİ’DE YENİ BAŞKAN ALİ GÜMÜŞ’ÜN YÖNETİM LİSTESİ BELLİ OLDU

reklam
AK PARTİ’DE YENİ BAŞKAN ALİ GÜMÜŞ’ÜN YÖNETİM LİSTESİ BELLİ OLDU
Son Güncelleme :

24 Mart 2023 - 17:01

1.079 views

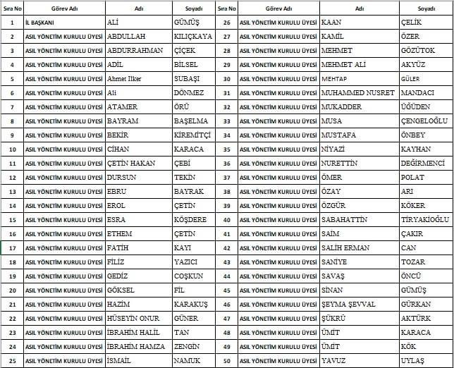
Geçtiğimiz günlerde AK Parti Tekirdağ İl Başkanı olarak göreve başlayan Avukat Ali Gümüş, yeni yönetim listesini açıkladı.

AK Parti Tekirdağ İl Başkanı Ali Gümüş yaptığı açıklamada; “AK Partimizi ve Sayın Cumhurbaşkanımızı 14 Mayıs’ta yapılacak olan genel seçimde zafere ulaştıracak AK Kadromuz Tekirdağ’ımıza hayırlı olsun.” dedi.

Açıklamalarına devam eden Başkan Gümüş; “Hepsi birbirinden değerli Yönetim Kurulu Üyesi yol arkadaşlarıma yeni görevlerinde muvaffakiyetler diliyorum. Omuzlarımızdaki yükün ve sorumluluğumuzun farkındayız. Genel Başkanımız ve Cumhurbaşkanımız Sayın Recep Tayyip Erdoğan’ın liderliğinde Türkiye Yüzyılı için hiç yorulmadan çalışacağız.” ifadelerini kullandı.

AK Parti Tekirdağ İl Yönetim Kurulu şu isimlerden oluştu:

Özlem Gürakar

GÜVEN TEKİRDAĞ GAZETESİ – TEKİRDAĞ CANLI HABER

reklam

YORUM YAP

Bu yazı yorumlara kapatılmıştır.

reklam-->
reklam